Au quotidien, les assistantes maternelles exercent leur métier au plus près des enfants marckois soit à leur domicile ou dans la Maison de la Petite Enfance. Elles sont une cinquantaine à s'occuper avec professionnalisme des jeunes enfants.
Vous êtes à la recherche d'un mode de garde sur la commune ?
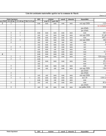
Une cinquantaine d'assistantes maternelles travaillant sur la commune de Marck peuvent prendre en charge les enfants chez elle mais également au sein du Relais Petite Enfance, située avenue de Verdun, à la Maison de la Petite Enfance. À mi-chemin entre l’accueil collectif et individuel, cette structure leur permet de se regrouper dans un local adapté à la sécurité et au bien-être des enfants. C'est aussi un lieu d'informations pour les familles à la recherche d'un mode de garde, les assistantes maternelles et les professionnels de la petite enfance.
Vous pouvez également simplement contacter les assistantes maternelles de votre choix en fonction de différents critères :
- Le nombre de places
- Leur présence au Relai Petite Enfance
- Leurs disponibilités
- Leurs créneaux horaires
Découvrez l'ensemble des assistantes maternelles de la commune dans le tableau ci-dessous :
